黄楚瑜1,2,黄运湘1,肖海强3,4,邝美娟1,张扬珠1,龙怀玉4
(1.湖南农业大学 资源环境学院,长沙 410128;2.琼海市农业科学研究所,海南 琼海 571429;3.江西中烟工业责任有限公司井冈山卷烟厂,江西 吉安 343100;4.中国农业科学院 农业资源与农业区划研究所,北京100081)
摘 要:为筛选出南方冬季蔬菜小白菜(brassica)主动式供水灌溉(负压灌溉)最适宜的土壤水分条件,采用盆栽试验,研究了南方地区2种典型蔬菜土壤—红菜园土和潮菜园土,3个不同负压给水(-5.0、-7.5、-10.0 kPa)对土壤含水率、小白菜生长情况、耗水特性及其水分利用效率等的影响。结果表明,红菜园土种植冬季小白菜,最适宜的负压灌溉值为-10.0 kPa,土壤质量含水率为18.7%,潮菜园土最适宜的负压灌溉值为-5.0 kPa,土壤质量含水率为25.3%。
关 键 词:小白菜;负压灌溉;生物量;水分利用效率;土壤质量含水率
农业是我国用水大户,农业用水量约占我国总用水量的65%,其中农田灌溉用水约占农业用水的65%,利用率50%左右[1-2]。如何提高农业用水效率特别是农田灌溉效率已成为当前重要的研究课题[3]。随着喷灌、滴灌、微喷、分根区交替灌溉等农业节水灌溉技术的发展和应用推广,灌溉水的利用效率提高至80%~95%;与传统的漫灌相比,作物增产20%~40%,还能防止土壤板结、土壤沙化和次生盐渍化[4-6]。负压给水技术作为一种新型的灌水技术,具有节水、节能、高效率、易管理及自动化等优点,得到越来越多的关注与研究[7]。李邵等[8]证明了负压灌溉方式下番茄植株各形态指标优于常规漫灌,番茄植株光合作用与蒸腾作用都强于常规灌溉,干物质积累与水分利用效率均大于常规灌溉。通过黄瓜试验,证实黄瓜植株在3~5 kPa供水吸力范围内产量与商品瓜率最高,叶片净光合速率、干物质积累也较高[9]。肖海强等[10]研究表明,土壤水势维持在-20~-10 kPa范围内,能使烤烟植物学性状生长优良,烟株耗水量、耗水强度、干物质积累总量及叶干质量比例均随土壤水势增大而增加。兹结合小白菜适宜生长的土壤含水率和土壤水势之间的相关性,利用负压灌溉装置控制土壤水势,研究南方红壤区2种典型土壤类型,在-10~0 kPa负压给水对小白菜生长及土壤理化性质的影响,以期获取2种土壤条件下小白菜生长最适宜的土壤水分参数,为水肥一体化的灌溉技术及科学的水肥管理提供技术支持。
供试作物为小白菜(brassica)。供试土壤为0~20 cm表层土壤,土壤类型为湖南2种典型的菜园土,分别为潮菜园土(河流冲积物发育形成)和红菜园土(第四纪红土母质发育形成)其田间质量持水率分别为29.5%和26.2%。土壤采回后分别进行风干、锤碎、过5 mm筛、混匀备用,于试验前测定土壤基本理化性质(见表1)。
表1 供试土壤基本理化性质

试验于2014年12月—2015年2月在湖南农业大学资源环境学院教学实习基地人工大棚内进行。采用盆栽试验,利用负压灌溉装置,以供水负压值为试验因素,每一类型土壤均设计3个不同水平梯度:-5.0、-7.5、-10.0 kPa。每个处理重复3次。
选择桶底直径22 cm、桶口直径24 cm、高30 cm的橡胶桶,每桶装土12 kg,肥料分别按N、P2O5、K2O施用0.24、0.12、0.24 g/kg的标准计算;其中,肥料在装盆时与土壤充分混匀后一次性施入,并保持土壤含水率至田间持水率3 d。于2014年12月27日选择长势一致的小白菜幼苗移栽至盆中,每盆移栽2棵,移栽时浇足定根水,待还苗后利用负压灌溉装置(中国农业科学院农业资源与农业区划研究所发明专利[11],其示意图如图1所示)按试验设计要求对试验处理进行负压供水(供水压力由“应用于农业灌溉的负压调节装置”控制,其基本原理见专利[12])。田间管理按常规方法进行,试验期间定期记录各个处理的耗水量,同时测定土壤含水率。于2015年2月26日分盆钵收获地上部分,带回室内测定其生物产量,同时按3点法采集每盆中土壤样品,用于土壤养分指标的测定。收获后的小白菜经杀青、烘干、粉碎后待用。

图1 负压灌溉装置示意图
a—储水罐;b—负压调节器(U形管);c—负压调节装置稳定器;d—水位观察窗;e—硅胶管(使U行管产生的负压作用于储水桶);f—抗压管;g—储水罐底座;h—陶土头;i—盆栽桶;j—注水口。
土壤含水率采用烘干法测定。土壤速效氮采用碱解扩散法测定,有效磷采用NaHCO3浸提-钼锑抗比色法测定,速效钾采用NH4OAc浸提火焰光度法测定。植株经H2SO4-H2O2消化,全氮用蒸馏滴定法,全磷用钼锑抗比色法,全钾用火焰光度法测定。耗水量计算:从储水桶直接读取水位高度,乘以储水桶横截面积即可得出各处理小白菜耗水量。耗水量=负压罐底面积×耗水高度=283.98(cm2)×所记录的高度(cm)。
利用SPSS 17.0软件进行数据处理和方差分析,采用Duncan新复极差法进行差异显著性检验。图表制作采用Microsoft Excel 2010。
由表2可知,红菜园土-5.0 kPa负压处理含水率为23.6%,较-7.5 kPa和-10.0 kPa处理分别高出16.5%和20.8%;潮菜园土-5.0 kPa负压处理含水率为25.3%,较-7.5 kPa和-10.0 kPa处理分别高出13.4%和20.9%。说明不同类型土壤的含水率均随给水负压(土水势)的降低而降低。同一负压供水条件下,土壤含水率因其土壤类型的不同而有差异,表现为潮菜园土>红菜园土。
表2 不同负压给水处理土壤含水率

注 表中同列不同小写字母分别表示红菜园土和潮菜园土不同负压处理间差异显著(P<0.05),下同。
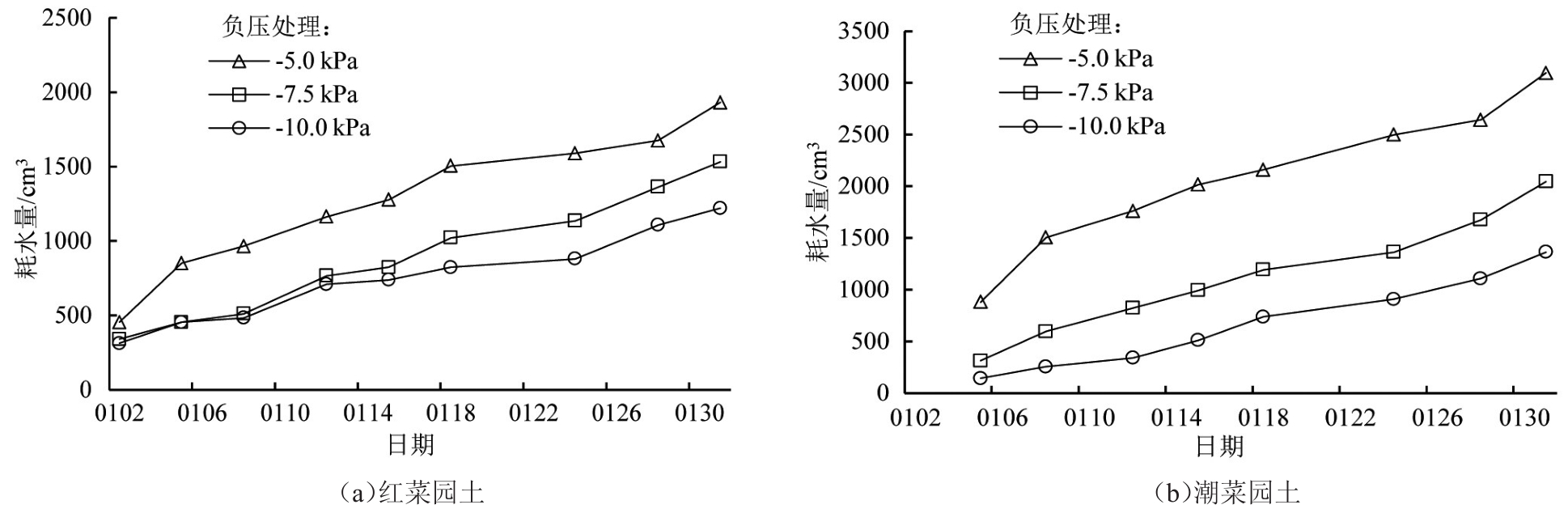
由图2可知,随着小白菜的生长发育,累积耗水量逐渐增加。相同负压给水条件下,潮菜园土的耗水量高于红菜园土,以-5.0 kPa处理差异最大,随着给水负压的降低,差异逐渐缩小。从2月2日耗水量的记录结果看,-5.0 kPa条件下,潮菜园土的累积耗水量为3 095 cm3,红菜园土为1 931 cm3,潮菜园土与红菜园土累积耗水量的比值为1.6;-7.5 kPa和-10.0 kPa条件下,其比值降为1.3和1.1。同一土壤条件下,不同负压给水的累积耗水量排序为-5.0 kPa>-7.5 kPa>-10.0 kPa。-5.0 kPa负压处理条件下,潮菜园的累积耗水量较-7.5 kPa和-10.0 kPa处理分别高出33.9%与56.0%,红菜园土则分别高出20.6%与36.8%;

图2 不同负压给水累积耗水量
由表3可知,红菜园土以-10.0 kPa负压给水处理小白菜生物产量(以干质量计)最高,与-5.0 kPa和-7.5 kPa负压处理差异未达显著水平。潮菜园土以-5.0 kPa负压给水处理小白菜生物产量最高,显著高于-7.5 kPa处理,较-10.0 kPa处理差异不显著。比较2种土壤,在同一负压给水条件下,潮菜园土小白菜生物产量高于红菜园土,这可能是2种土壤的肥力水平差异造成的。
表3 不同负压给水处理小白菜生物量及水分利用效率

根据小白菜生物产量和总耗水量计算水分利用效率(见表3)。从表3可知,随着给水负压的降低,水分利用效率提高,-10.0 kPa负压处理下,红菜园土和潮菜园土水分利用效率分别为1.993 g/kg和1.995 g/kg,与-5.0 kPa处理分别提高70.8%和99.3%。比较2种土壤,-5.0 kPa和-7.5 kPa处理下,红菜园土的水分利用效率高于潮菜园土,-10.0 kPa处理,2种土壤的水分利用效率相当。表明在充足供水条件下,虽有利于作物产量的提高,但水分利用效率下降,以潮菜园土表现得更为明显。
表4表明,红菜园土小白菜氮、磷、钾的量以-10.0 kPa负压处理最高,分别达到67.1、8.14、23.9 g/kg,与-5.0 kPa和-7.5kPa处理均差异未达显著水平。潮菜园土小白菜氮、磷的量以-5.0 kPa处理最高,氮的量显著高于-7.5 kPa和-10.0 kPa处理,磷的量差异未达显著水平;钾的量则以-7.5 kPa最高,与-5.0 kPa和-10.0 kPa处理差异未达显著水平。从2种土壤小白菜氮磷钾的量分析,适当控制土壤供水,有利于作物对钾的吸收;在较高肥力水平(潮菜园土)条件下,供给充足的土壤水分,有利于作物对氮磷的吸收。
表4 不同负压给水处理小白菜氮、磷、钾量

由表5可知,红菜园土以-7.5 kPa处理碱解氮量最高,为165.7 mg/kg,以-10.0 kPa处理土壤有效磷量和速效钾量最高,各处理间差异不显著。潮菜园土以-10.0 kPa处理土壤速效养分最高,各处理间碱解氮量和有效磷量未达差异显著水平,速效钾量与-5.0 kPa处理差异显著。2种供试土壤通过施肥和种植小白菜,速效养分均有所提高,其中红菜园土高于潮菜园土。红菜园土碱解氮量、有效磷量、速效钾量分别较试验前提高55.8%、231%、224%,潮菜园土则分别提高10.0%、7.6%、247%。由于2种供试土壤的供钾水平均较低,故施肥可提高土壤的供钾能力,潮菜园土为磷富集土壤,有效磷高达197.8 mg/kg,施用少量磷肥,有效磷提升幅度较小,红菜园土为缺磷土壤,施用少量磷肥,土壤有效磷提升231%。
表5 不同负压给水处理土壤速效养分量

1)红菜园土和潮菜园土是湖南省2种主要类型菜园土,从小白菜长势、生物量、氮磷钾量和水分利用效率等方面综合分析,红菜园土最适宜的负压给水值为-10.0 kPa,潮菜园土为-5.0 kPa。从给水负压值与土壤相对含水率的相关性分析,当负压给水值为-5.0 kPa和-10.0 kPa时,潮菜园土的相对含水率(土壤质量含水率占田间持水量的百分比)分别为85.8%和67.8%,红菜园土则分别为90.1%和71.4%。小白菜为叶菜类作物,生长发育过程中需要充足的水分条件,但水分过多,土壤通气不良,影响作物根系的生长和对养分的吸收。对于红菜园土来说,-5.0 kPa的负压给水,土壤相对含水率高达90%,通气透水性已受到影响,红菜园土肥力水平相对较低,小白菜生长较慢,-10.0 kPa的负压给水完全满足其对水分的需求;潮菜园土肥力水平较红菜园土高,小白菜生长较快,生物产量高,-5.0 kPa的负压给水条件下土壤含水率最适宜其生长发育。
2)相同负压给水,潮菜园土含水率高于红菜园土。从土壤质地和田间持水率分析,潮菜园土为粉砂质黏壤土,田间持水率29.5%,红菜园土为粉砂质黏土,田间持水率26.2%;从土壤肥力状况分析,潮菜园土所含有机质量高于红菜园土,具有更好的土壤结构、孔隙状况以及持水性能。
3)相同负压给水,潮菜园土小白菜生物产量和总耗水量高于红菜园土,但水分利用效率低于红菜园土。就目前来看,湖南的蔬菜生产基地大多是潮菜园土,因为在实际生产中,生产者往往更多考虑的是经济效益,水分利用效率也应作为一个重要的参考值。
参考文献:
[1]2014年中国水资源公报[EB/OL].http://www.mwr.gov.cn/zwzc/hygb/szygb/qgszygb/201508/t20150828_719423.html
[2]张丽君,时述凤,杨天礼.我国农业灌溉用水定额编制和应用现状[J].中国水利,2014(9):10-12.
[3]曹国玺.我国的水利节水灌溉工程策略分析[J].河南水利与南水北调,2014(9):50,55.
[4]杜园园,王同朝,刘永忠,等.交替灌溉方式土壤水分运移及垄体参数初探[J].山西农业科学,2012,40(7):738-741.
[5]孙景生,康绍忠,蔡焕杰.控制性交替灌溉技术的研究进展[J].农业工程学报,2001,17(4):1-5.
[6]CLINTON C S,ERIK B G F,LAMONT D S.Center for Irrigation Technology,California State University,Fresno.Annual Report,Malheur Experiment Station(M).Oregon State University.
[7]段福义,黄修桥,范永申,等.负压给水技术研究初探[J].中国农村水利水电,2011(2):59-61.
[8]李邵,薛绪掌,郭文善,等.负水头灌溉对温室番茄生长、产量及品质的影响[J].农业工程学报,2008,24(S2):225-229.
[9]李邵,薛绪掌,郭文善,等.供水吸力对温室黄瓜产量与水分利用效率的影响[J].中国农业科学,2010,43(2):337-345.
[10]肖海强,刘学勇,龙怀玉,等.土壤水势对烤烟生长及其耗水特性的影响[J].中国烟草科学,2015,36(1):35-41.
[11]龙怀玉,雷秋良,张认连.应用于农业灌溉的恒负压灌水系统[P].北京:CN103548645A,2014-02-05.
[12]龙怀玉,刘振华,肖海强,等.应用于农业灌溉的负压调节装置[P].北京:CN103583315A,2014-02-19.
Effects of Water Supply under Different Negative Pressure on Cabbage Growth and Soil Moisture Content
HUANG Chuyu1,2,HUANG Yunxiang1,XIAO Haiqiang3,4,KUANG Meijuan1,ZHANG Yangzhu1,LONG Huaiyu4
(1.College of Resources and Environmental Science,HunanAgricultural University,Changsha 410128,China;2.Qionghai Institute ofAgricultural Sciences,Qionghai 571429,China;3.Jinggangshan Cigarette Factory,China Tobacco Jiangxi Industrial LLC,Ji’an 343100,China;4.Institute ofAgricultural Resources and Regional Planning,ChineseAcademy ofAgricultural Sciences,Beijing 100081,China)
Abstract:Using pot experiments,we investigated the impact of irrigation under negative pressure on growth of Chinese cabbage and winter vegetable brassica in attempts to select an irrigation method which could provide the most suitable moisture content for the two vegetables to grow in red-garden and alluvial soils in Southern China.Three water pressures,-5.0,-7.5 and-10.0 kPa were examined,and the results showed that for the red-garden soil the most suitable water pressure was-10.0 kPa with an associated soil moisture content of 18.7%,while for the alluvial garden soil,the most suitable water pressure was-5.0 kPa with an associated moisture content of 25.3%.
Key words:Chinese cabbage;irrigation under negative water pressure;biological yield;water use efficiency;soil water content
中图分类号:S275
文献标志码:A
doi:10.13522/j.cnki.ggps.2017.07.007
文章编号:1672-3317(2017)07-0033-05
责任编辑:赵宇龙
黄楚瑜,黄运湘,肖海强,等.不同负压给水对小白菜生长及土壤水分的影响[J].灌溉排水学报,2017,36(7):33-37.
收稿日期:2016-01-14
基金项目:国家863计划项目(2013AA102901)
作者简介:黄楚瑜(1990-),男。硕士,实习农技人员,主要从事土壤生态环境研究。E-mail:412112107@qq.com
通信作者:黄运湘(1963-),女。教授,硕士生导师,主要从事土壤肥力与作物施肥、土壤环境污染与控制研究。E-mail:532068061@qq.com